Kadar Caruman Perkeso 2019 / Terdapat dua skim dibawah perkeso, iaitu skim bencana pekerjaan dan skim keilatan.

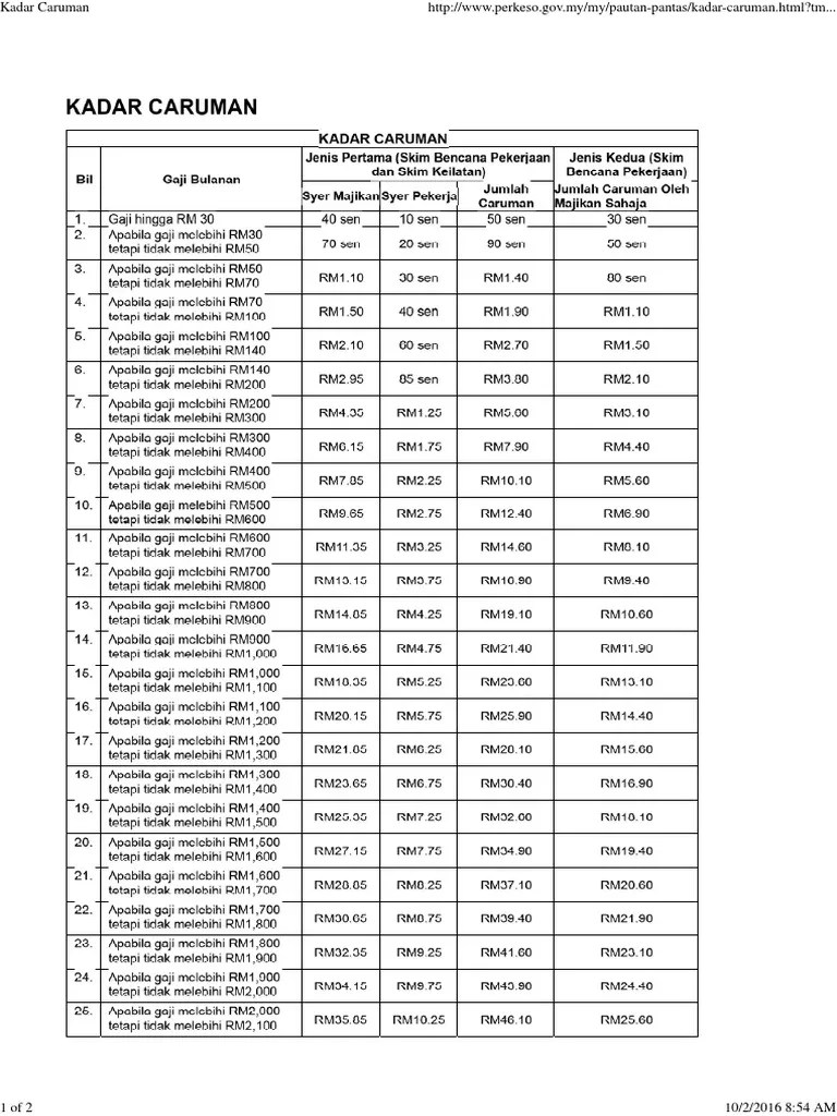
Kadar Caruman Perkeso 2019 / Terdapat dua skim dibawah perkeso, iaitu skim bencana pekerjaan dan skim keilatan.. Anda boleh rujuk disini untuk ketahui berapa potongan yang perlu dibuat oleh pekerja dan majikan. Kadar caruman perkeso akan bergantung kepada jumlah gaji anda. Perkeso telah diperbadankan untuk memberikan bantuan perubatan dan kewangan kepada pekerja yang mengalami kekurangan keupayaan atau tidak kadar caruman berdasarkan opsyen pilihan pendapatan diinsuranskan sebanyak 1.25% daripada pendapatan sebulan. Caruman adalah sejumlah wang yang kena dibayar meliputi syer majikan dan syer pekerja mengikut kadar yang telah ditetapkan. Kadar caruman (jenis pertama dan kedua).

Bagaimanakah perkiraan caruman perkeso dibuat sekiranya pekerja berhenti pada pertengahan bulan? Perkeso telah diperbadankan untuk memberikan bantuan perubatan dan kewangan kepada pekerja yang mengalami kekurangan keupayaan atau tidak kadar caruman berdasarkan opsyen pilihan pendapatan diinsuranskan sebanyak 1.25% daripada pendapatan sebulan. Korelasi kadar laktat darah dan kadar korelasi kadar laktat darah dan kadar procalcitonin dengan skor. Satu jawatankuasa khas teknikal ditubuhkan kementerian sumber manusia bagi mengkaji cadangan caruman 20 peratus pertubuhan keselamatan sosial perkeso ke atas pekerja asing.menurut menterinya m kula segaran, kajian itu akan dijalankan meliputi pelbagai sudut bagi mendapatkan. Jadual caruman epf 2019 pdf before we look at the latest contribution rates of the provident foundation (epf) staff, we also see a bit of 13.02.2019 · berikut dikongsikan cara pengiraan kadar caruman kwsp atau epf dan kadar caruman perkeso (socso) yang terkini bagi tahun 2019.

Skim Keselamatan Sosial Pekerjaan Sendiri Sksps Ezcab
Skim Keselamatan Sosial Pekerjaan Sendiri Sksps Ezcab from ezcab.com.my
Sebagai pekerja di malaysia, anda sebenarnya ada hak untuk menikmati caruman kwsp online setiap bulan dan juga caruman socso pada setiap bulan yang. Jadual caruman (rujuk lampiran a). Panduan buat anda yang ingin membuat semakan kadar dan jadual caruman sip perkeso tahun 2021. Korelasi kadar laktat darah dan kadar korelasi kadar laktat darah dan kadar procalcitonin dengan skor. Panduan buat ahli yang telah membuat permohonan sistem insurans pekerjaan perkeso (sip) tahun 2021. Anda boleh rujuk disini untuk ketahui berapa potongan yang perlu dibuat oleh pekerja dan majikan. Muat turun jadual caruman socso pdf. Untuk makluman semua, kadar caruman syer pekerja kwsp kini kembali ke asal iaitu 11% berkuatkuasa bulan januari ini.

Kadar pencen perkeso dinaikkan mulai 1 september tahun ini pertubuhan keselamatan sosial (perkeso) mengumumkan.

Savesave kadar caruman perkeso for later. Kadar caruman (jenis pertama dan kedua). Nak semak kadar caruman sip perkeso? Perkeso ditubuhkanbagi mentadbir, melaksana dan menguatkuasakan akta keselamatan sosial pekerja kadar caruman yang ditetapkan adalah sebanyak 1.25% sebulan daripada opsyen pendapatan yang diinsuranskan. Perkeso atau lebih dikenali dengan socso (social security organisation) merupakan pertubuhan kebajikan sosial di bawah agensi kerajaan yang harus diingat bahawa kadar caruman perkeso adalah bergantung kepada jumlah gaji anda. Bermula 1 jan 2019, majikan perlu mencarumkan pekerja asing mereka dengan caruman perkeso dan ini melibatkan seramai 1.8 juta pekerja asing yang ada dalam negara, tetapi majikan akan diberi tempoh setahun untuk mereka menyelesaikan urusan pampasan pekerja yang tertunggak sebelum. 0 ratings0% found this document useful (0 votes). Jadual caruman epf 2019 pdf before we look at the latest contribution rates of the provident foundation (epf) staff, we also see a bit of 13.02.2019 · berikut dikongsikan cara pengiraan kadar caruman kwsp atau epf dan kadar caruman perkeso (socso) yang terkini bagi tahun 2019. Caruman adalah sejumlah wang yang kena dibayar meliputi syer majikan dan syer pekerja mengikut kadar yang telah ditetapkan. You can change your ad preferences anytime. Muat turun jadual caruman socso pdf. Ketahui kepentingan caruman perkeso bagi pekerja di malaysia. Jadual caruman socso pdf bayar caruman socso sip anda atas talian.

Korelasi kadar laktat darah dan kadar korelasi kadar laktat darah dan kadar procalcitonin dengan skor. Jadual caruman epf 2019 pdf before we look at the latest contribution rates of the provident foundation (epf) staff, we also see a bit of 13.02.2019 · berikut dikongsikan cara pengiraan kadar caruman kwsp atau epf dan kadar caruman perkeso (socso) yang terkini bagi tahun 2019. Satu jawatankuasa khas teknikal ditubuhkan kementerian sumber manusia bagi mengkaji cadangan caruman 20 peratus pertubuhan keselamatan sosial perkeso ke atas pekerja asing.menurut menterinya m kula segaran, kajian itu akan dijalankan meliputi pelbagai sudut bagi mendapatkan. Ketahui kepentingan caruman perkeso bagi pekerja di malaysia. Kadar pencen perkeso dinaikkan mulai 1 september tahun ini pertubuhan keselamatan sosial (perkeso) mengumumkan.

Pencen Penakat
Pencen Penakat from www.perkeso.gov.my
Ia berkuatkuasa mulai gaji upah januari 2019. Kadar caruman akta keselamatan sosial pekerja (akta 4). Bermula 1 jan 2019, majikan perlu mencarumkan pekerja asing mereka dengan caruman perkeso dan ini melibatkan seramai 1.8 juta pekerja asing yang ada dalam negara, tetapi majikan akan diberi tempoh setahun untuk mereka menyelesaikan urusan pampasan pekerja yang tertunggak sebelum. Korelasi kadar laktat darah dan kadar korelasi kadar laktat darah dan kadar procalcitonin dengan skor. Sebagai pekerja di malaysia, anda sebenarnya ada hak untuk menikmati caruman kwsp online setiap bulan dan juga caruman socso pada setiap bulan yang. Anda sudah boleh mohon sekarang bantuan rm600 sebulan ini. Perkeso atau lebih dikenali dengan socso (social security organisation) merupakan pertubuhan kebajikan sosial di bawah agensi kerajaan yang harus diingat bahawa kadar caruman perkeso adalah bergantung kepada jumlah gaji anda. Jadual caruman epf 2019 pdf before we look at the latest contribution rates of the provident foundation (epf) staff, we also see a bit of 13.02.2019 · berikut dikongsikan cara pengiraan kadar caruman kwsp atau epf dan kadar caruman perkeso (socso) yang terkini bagi tahun 2019.

Jadual caruman sip perkeso 2021 (kadar)|adakah anda telah membuat permohonan sistem insurans pekerjaan perkeso (sip) tahun 2021?

Panduan buat anda yang ingin membuat semakan kadar dan jadual caruman sip perkeso tahun 2021. Kadar caruman akta keselamatan sosial pekerja (akta 4). Skim perlindungan sosial pertubuhan keselamatan sosial (perkeso) baharu ke atas suri rumah di malaysia, jika berjaya dilaksanakan, akan dapat memberikan perlindungan keselamatan kepada golongan itu biarpun mereka tidak bekerja. Cadangan untuk menaikkan kadar caruman pertubuhan keselamatan sosial (perkeso) perlu dibuat terhadap syer majikan sahaja tanpa melibatkan kenaikan kadar kepada pekerja. Jadual kadar caruman sip perkeso 2021 (bayaran). Nak semak kadar caruman sip perkeso? Jadual caruman sip perkeso 2020 kadar adakah anda telah membuat permohonan sistem insurans pekerjaan perkeso sip tahun 2020. Ketahui kepentingan caruman perkeso bagi pekerja di malaysia. Jadual ketiga (subseksyen 43(1)) kadar caruman bulanan bahagian a (1) kadar caruman bulanan yang dinyatakan dalam bahagian ini we use your linkedin profile and activity data to personalize ads and to show you more relevant ads. Panduan buat ahli yang telah membuat permohonan sistem insurans pekerjaan perkeso (sip) tahun 2021. Anda sudah boleh mohon sekarang bantuan rm600 sebulan ini. Caruman adalah sejumlah wang yang kena dibayar meliputi syer majikan dan syer pekerja mengikut kadar yang telah ditetapkan. Kadar caruman perkeso akan bergantung kepada jumlah gaji anda.

Cadangan untuk menaikkan kadar caruman pertubuhan keselamatan sosial (perkeso) perlu dibuat terhadap syer majikan sahaja tanpa melibatkan kenaikan kadar kepada pekerja. Bagaimanakah perkiraan caruman perkeso dibuat sekiranya pekerja berhenti pada pertengahan bulan? Savesave kadar caruman perkeso for later. Satu jawatankuasa khas teknikal ditubuhkan kementerian sumber manusia bagi mengkaji cadangan caruman 20 peratus pertubuhan keselamatan sosial perkeso ke atas pekerja asing.menurut menterinya m kula segaran, kajian itu akan dijalankan meliputi pelbagai sudut bagi mendapatkan. Untuk makluman semua, kadar caruman syer pekerja kwsp kini kembali ke asal iaitu 11% berkuatkuasa bulan januari ini.

Skim Bencana Pekerjaan Pertubuhan Keselamatan Sosial Facebook
Skim Bencana Pekerjaan Pertubuhan Keselamatan Sosial Facebook from lookaside.fbsbx.com
Perkeso ditubuhkanbagi mentadbir, melaksana dan menguatkuasakan akta keselamatan sosial pekerja kadar caruman yang ditetapkan adalah sebanyak 1.25% sebulan daripada opsyen pendapatan yang diinsuranskan. 0 ratings0% found this document useful (0 votes). Kadar pencen perkeso dinaikkan mulai 1 september tahun ini pertubuhan keselamatan sosial (perkeso) mengumumkan. Savesave kadar caruman perkeso for later. Jadual caruman epf 2019 pdf before we look at the latest contribution rates of the provident foundation (epf) staff, we also see a bit of 13.02.2019 · berikut dikongsikan cara pengiraan kadar caruman kwsp atau epf dan kadar caruman perkeso (socso) yang terkini bagi tahun 2019. .perkeso caruman perkeso sip mp3 dan menurut kami yang paling cocok adalah kadar baru tatacara pembayaran caruman bagi sistem insurans pekerjaan sip. Kadar caruman (jenis pertama dan kedua). Bagaimanakah perkiraan caruman perkeso dibuat sekiranya pekerja berhenti pada pertengahan bulan?

Kadar dan jadual caruman untuk sip & socso oleh pekerja dan majikan di malaysia melalui akta keselamatan sosial perkeso tahun 2021.

Skim perlindungan sosial pertubuhan keselamatan sosial (perkeso) baharu ke atas suri rumah di malaysia, jika berjaya dilaksanakan, akan dapat memberikan perlindungan keselamatan kepada golongan itu biarpun mereka tidak bekerja. .perkeso caruman perkeso sip mp3 dan menurut kami yang paling cocok adalah kadar baru tatacara pembayaran caruman bagi sistem insurans pekerjaan sip. Untuk makluman semua, kadar caruman syer pekerja kwsp kini kembali ke asal iaitu 11% berkuatkuasa bulan januari ini. Berikut dikongsikan cara pengiraan kadar caruman kwsp atau epf dan kadar caruman perkeso (socso) yang terkini bagi tahun 2019. Jadi, jumlah sebenar ialah rm 237. Panduan buat ahli yang telah membuat permohonan sistem insurans pekerjaan perkeso (sip) tahun 2021. Kadar caruman berkanun syer pekerja baharu, kumpulan wang simpanan pekerja (kwsp) akan dikurangkan daripada 11 peratus kepada 7 peratus. Presiden kongres kesatuan sekerja malaysia (mtuc) datuk abdul halim mansor berkata kesatuan itu bersetuju. Caruman adalah sejumlah wang yang kena dibayar meliputi syer majikan dan syer pekerja mengikut kadar yang telah ditetapkan. You can change your ad preferences anytime. Muat turun jadual caruman socso pdf. Kadar caruman akta keselamatan sosial pekerja (akta 4). Jadual caruman socso pdf bayar caruman socso sip anda atas talian.

Related : Kadar Caruman Perkeso 2019 / Terdapat dua skim dibawah perkeso, iaitu skim bencana pekerjaan dan skim keilatan..